¿Tienes una tarea?, Búscala aquí:

miércoles, 5 de diciembre de 2012

Diferencias entre compuestos orgánicos e inorgánicos

Compuesto orgánico

Compuesto inorgánico

En los compuestos orgánicos predomina el enlace covalente

En estos compuestos inorgánicos predomina el enlace electro Valente

Son poco solubles en el agua pero solubles en disolventes orgánicos como alcohol , éter, cloroformo, etc..

Son solubles en agua pero insolubles en disolventes orgánicos

Son inestables aun a bajas temperaturas

Son estables aun en la condición de temperaturas altas

Los cuerpos orgánicos reaccionan entre si lentamente debido a su enlace covalente

Las reacciones inorgánicas son instantáneas debido al enlace electro Valente

Son complejos debido a su elevado peso molecular

Son menos complejas debido a su bajo peso molecular

Las sustancias orgánicas al disolverse , no se ionizan por lo tanto sus moléculas no conducen la electricidad

Las sustancias inorgánicas al disolverse se ionizan y son conductores de la electricidad

Diferencias entre seres vivos y seres inertes

Seres vivos

Seres inertes

Tienen ciclo vital , nacen, crecen, se reproducen y mueren

No tienen ciclo vital

Tienen funciones vitales

No cumplen funciones vitales

Responden a estímulos gracias a la propiedad de la irritabilidad tienen movimientos

Carecen de movimiento propio

Presentan un a composición química definida a base de proteínas y ácidos nucleicos

No presentan constitución definida

Tienen capacidad de adaptarse al medio ambiente

No necesitan ningún requerimiento

Digestión

  Hay dos clases

1. Digestión intracelular.- se realiza dentro de la célula mediante el fenómeno de la fagocitosis que consiste en el ingreso de sustancias al citoplasma , es propia de los protozoarios y esponjas

2. Digestión extracelular.- es propia de los betasoarios los cuales necesitan un sistema digestivo para transformar los alimentos en sustancias asimilables

a) Aparato digestivo.- conjunto de órganos que realizan la digestión de los alimentos

Incompleto.-presenta una sola abertura que hace de boca y ano Ejm: celentéreos como medusas , corales, hidras, platelmintos , aleiuya planaria

Completo.- presenta boca y ano separados , lo tiene desde los nematelmintos

Excepciones.- las tenias no tiene aparato digestivo , se alimentan por osmosis (piel) , la lombriz de tierra tiene boca, faringe, esófago, buche, molleja, intestino largo, ano; el saltamontes tiene boca, molleja mecánica, estomago químico; el caracol tiene boca, rotula; los crustáceos y moluscos se alimentan por un sistema de filtración llevando así los alimentos a la boca ; pulpos y calamares tienen mandíbulas como picos de loros, erizos de mar poseen boca con cinco dientes , la rana y los sapos tienen lengua larga que atrapa a los alimentos

Dinámica

Parte de la mecánica que estudia el movimiento de los cuerpos considerando las causas que lo producen

Segunda ley de newton o ley base

Cuando una fuerza actúa sobre un cuerpo le imprime una aceleración directamente proporcional a la intensidad de la fuerza e inversamente proporcional a la masa

 

image

Donde

F=fuerza

m=masa

a= aceleración

 

Sistema absoluto

 

 

f

m

a

cgs

Dyna

g

Cm/s2

mks

newton

Kg

m/s2

 

Sistema técnico

 

 

f

m

A

Cgs

g

g

Cm/s2

mks

kg

UTM

m/s2

Donde

Cgs = centímetro , gramo, segundo

Mks= metro, kilogramo, segundo

Utm= unidad técnica de medida

 

fuerza

Masa

1 N = 105 dinas

1kg=1000g

1N=0.102 kg

1kg=2.2lb

1g=981 dinas

Utm=9.8 kg

1kg=9.8 N

1kg=0.102 utm

1kg=2.2 lb

1lb=453.6g

da clic para seguir el vinculo:

peso

Ecología y conservación del medio ambiente

Estudio y conservación de recursos naturales y la conservación del medio ambiente mejorar la calidad del aire, el agua y el medio ambiente

Energía.- estos proyectos están relacionados con la energía hidroeléctrica, eólica, solar, geotérmica, alternativa

Uso de energía.- transformación , generación , transmisión y distribución

Informática.- desarrollo de innovaciones en informática, uso del internet

Tecnología e ingeniería.- investigación de proyectos en distintas áreas para el aprovechamiento de los recursos renovables y no renovables

Ciencias sociales

Relacionado con la comunidad , psicología, antropología y problemas urbanos

ECUACIONES DIMENSIONALES

 

Son expresiones matemáticas que colocan a las magnitudes derivadas en función de las fundamentales utilizando para ello las reglas básicas de algebra

Las ecuaciones dimensionales se diferencian de las algebraicas por que solo operan en las magnitudes

Por su origen las magnitudes pueden ser:

a) Magnitudes fundamentales , son las principales como longitud, masa, tiempo, y las teorías gravitatorias

b) Magnitudes derivadas.- son las que provienen de las fundamentales tales como la velocidad, la aceleración, la potencia y la presión

Por su naturaleza las magnitudes pueden ser

a) Escalares

b) Vectoriales

El estomago

Es una bolsa encarga de la digestión química de los alimentos que sufren la acción del jugo gástrico , que adema de acido clorhídrico contienen pepsina, proteasa que transforma a los albuminoides en unos polipéptidos llamados peptonas , las demás categorías de alimento no son alteraras por el jugo gástrico , llamados quimo al liquido ácido en el que se transforman los alimentos en el estomago

El estomago esta tapizado interiormente por un mucosa gástrica que por sus células coliseformes que segregan mucus lubricante tienen además unas glándulas pepsicas , con secreción de jugo gástrico , formado por la pepsina y el acido clorhídrico

Cardias y píloro (entre el esófago y el duodeno)

el fruto

es el ovario desarrollado y maduro , después de la fecundación del ovalo sufre modificaciones en su estructura , los óvulos se transforman en semilla la función principal del fruto es proteger a la semilla.

da clic para seguir los vínculos:

partes del fruto

Clases de fruto

El metabolismo

Es una serie de cambios y reacciones químicas que se realizan en el interior de una célula o de un organismo debido al ingreso y salida de ciertas sustancias

Mediante el metabolismo se forman nuevas sustancias y se destruyen otras, es un proceso continuo que permite el crecimiento , desarrollo , conservación y reparación de células

Clasificación del movimiento

 

a) por su trayectoria

rectilíneo.- cuando la trayectoria es una línea recta

 

image

curvilíneo.- cuando su trayectoria es una línea curva, entre los mas conocidos tenemos :

circular.- cuando la trayectoria es una circunferencia

image

parabólico.- cuando la trayectoria es una parábola

image

elíptico.- cuando la trayectoria es una elipse

image

b) por su rapidez

Uniforme.- cuando el modulo de la velocidad permanece constante

Variado.- cuando el modulo de la velocidad varia con respecto al tiempo

Clasificación de las proteínas

a) Por su composición

Simples ( albuminas, globulinas, escleroproteinas, protaminas, histonas)

Conjugadas (fosfoproteínas, glucoproteinas, núcleo proteínas, lipo proteínas)

b) Simples

Por hidrolisis se descomponen en aminoácidos

Ovoalbúminas - clara de huevo

Cero albuminas – plasma

Lactoalbuminas – leche

Globulinas

Cero globulinas – plasma

Fibrinógeno – plasma

Miosina – musculo

Escleroproteinas

Colágeno quitina – pieles, plumas

Elastinas – elástica tendones

Histonas - ácidos nucleicos

Ácidos nucleicos

Conjugadas

Aminoácidos , otras sustancias que forman el grupo proteico

Fosfoproteínas pepsina, vitelina (yema de huevo)

Cloroplastos

Cloros – verdes

Estructura

m. interna.- presenta pliegues que forman lamelas , discos dilacoidales y granas

extroma.- contiene las enzimas que participan en la fase oscura de la fotosíntesis y contienen los ribosomas DNA y RNA y gránulos de almidón

m. externa.- es liza

Componentes de un proyecto

Los componentes necesarios para realizar un proyecto de investigación son

1. Diagnostico.- realizado donde se hace el proyecto

2. Justificación del proyecto.

3. Formulación de objetivos y metas

4. Identificar la población de estudio

5. Definir las actividades a realizar

6. Distribución de actividades (recursos humanos)

7. Utilización de recursos e insumos

8. Cronograma de ejecuciones

Luego de tomar decisiones es necesario considerar las siguientes preguntas: ¿que?, ¿por que?, ¿para que?, ¿cuanto?, ¿a quienes?, ¿quienes?, ¿con que?, ¿donde?

Áreas para la elaboración de un programa de ciencias básicas

Todo lo relacionado con el material especial para el trabajo con la ciencia

Componentes de un vector

Dado dos vectores A y B son equivalentes a un vector resultante R, un vector resultante puede ser reemplazado por sus dos vectores equivalente A + B a este proceso se le denomina descomposición vectorial

Entonces los componentes de un vector son aquellos que una vez sumandos dan un vector primitivo

Componentes rectangulares de un vector

Son aquellos vectores componentes de un vector que forman entre si un ángulo de 90 grados

Vector unitario

Es aquel vector cuyo modulo es la unidad y tienen por misión indicar la dirección y e sentido de un determinado vector a dicho vector se le llama versor

Vectores rectangulares

Son vectores que se encuentran en los ejes de coordenadas rectangulares en los ejes de las “X” y de las “Y”

Vector unitario eje “Y” (positivo)

Vector unitario eje “X” (positivo)

Vector unitario eje “-Y” (negativo)

Vector unitario eje “-X” (negativo)

Conceptos fundamentales de cinemática

MÓVIL

Cuerpo que cambia de posición con respecto a otro supuesto fijo , el en trascurso del tiempo

TRAYECTORIA

Línea que resulta de unir todas las posiciones sucesivas ocupadas por un móvil durante su movimiento

DESPLAZAMIENTO

Magnitud vectorial que define la posición final de un móvil respecto a su origen o punto de partida

ESPACIO RECORRIDO (e)

Distancia recorrida por un móvil entre su posición inicial y final de su movimiento

Sistema de referencia

Para analizar el movimiento de un cuerpo , debemos precisar con relación a que cuerpo o cuerpos existe este movimiento

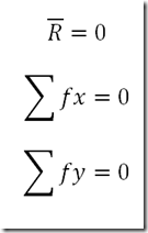
condición de equilibrio

la resultante de un sistema de fuerzas que actúan sobre un cuerpo es igual a cero, lo que implica que si empleamos descomposición rectangular al sumatoria de fuerzas en cada eje también es igual a cero

 

image

image

image

 

image

Desinfectante de pino para baño CASERO

Para fabricar un litro de tu propio desinfectante de pino para baño en el cual gastaras $1 necesitas:

Insumos

Cantidades

Aceite de pino

30 ml

Igegol

10 ml

Emulgente

1.5 g

Alcohol

15 ml

Colorante

0.5 ml 20 gotas

Elaboración

En un recipiente de plástico agregue aprox 100 ml de agua y añada 30 ml de aceite de pino y los 10 ml de Igegol

Agite suavemente , luego agregas 1.5 g de emulgador y el agua suficiente hasta completar 1 litro , vuelve a agitar hasta obtener una emulsión homogénea

Añadir 0.5 ml ( aproximadamente 20 gotas de colorante

Agitar , envasar y etiquetar.

diagrama de cuerpo libre DCL

 

es el dibujo de cuerpo perteneciente a un sistema donde solamente se grafican las fuerzas que actúan sobre el , estas pueden ser

1. el peso.- se presenta por medio de un vector dirigido hacia abajo cuyo punto de aplicación se denomina centro de gravedad

2. reacciones.- cuando las superficies son lisas las reacciones son perpendiculares a dichas superficies de contacto y para graficarlas previamente hay que separar a los cuerpos

3. fuerzas internas.- son aquellas fuerzas que aparecen en los cuerpos cuando sobre estos actúan fuerzas externas, entre ellas tenemos

a) tensión.- aparecen en las cuerdas y para graficarlas previamente hay que darle un corte imaginario y se grafica opuesta a la fuerza externa que trata de estirar a la cuerda

b) compresión.- aparece en las barras y para graficarlas también hay que darle un corte imaginario y graficarla opuesta a la fuerza externa que trata de comprimir a la barra

image

W: peso

R1 y R2 : reacciones

Características de los vegetales

 

A pesar de que existen mas de 400 mil especies de vegetales se resumen por características generales, las células de los vegetales tienen dos tipos de membranas , una exterior llamada celulósica y otra interior llamada plasmática, fabrican sus propios alimentos mediante le fenómeno de la fotosíntesis

Elaboran sustancias orgánicas a partir del agua y las sales minerales tomadas del suelo y el anhídrido carbónico tomado del aire

Las plantas son la base de la vida en la tierra , porque fabrican alimentos para los criminales y el hombre , cresen fijas al suelo no pudiendo desplazarse con movimientos propios , tienen pocos órganos y sistemas , generalmente son de organización sencilla

Los vegetales tienen formas y tamaños muy variados

Cinemática

Es una ciencia derivada de la mecánica que estudia el movimiento sin tener en cuenta las causas de este

Cuando tratamos de la cinemática obtenemos cientos de casos que se realizan en la naturaleza desde los mas simples a los mas complejos , por ejemplo la caída de agua de una catarata, el vuelo de un insecto , las olas del mar, y todo lo relacionado con velocidad , posición y tiempo

Movimiento.- es el fenómeno físico que consiste en el cambio de posición que realiza un cuerpo en cada instante con respecto a su sistema de referencia el cual se considera fijo

da clic para seguir los vínculos:

Medidas del movimiento

Conceptos fundamentales

Clasificación del movimiento

Movimiento rectilíneo uniforme MRU

Movimiento rectilíneo uniformemente variado MRUV

Clases de péptidos

Es un elemento covalente que mantiene a dos aminoácidos , se dan entre el grupo carboxilido de un acido y el grupo amino de otro , con la eliminación de la molécula de H2O

Forman cadenas de aminoácidos la unión de dos aminoácidos se les llama dipéptidos y tripéptidos o superior poli péptidos

Clases de fruto

Existen dos clases

Frutos carnosos.- son aquellos que al madurar se vuelven jugosos y carnosos alcanzarán gran cantidad de sustancias nutritivas pueden ser:

a) Drupa.- cuando el mesocarpio es carnosos y el endocarpio es duro Ejm: el melocotón, la cereza, el albaricoque, etc.

b) Baya.- es cuando el endocarpio y el mesocarpio son carnosos y envuelven a la semilla ejm: las uvas, el tomate, etc.

c) Pomo.- es cuando el endocarpio es coriáceo, ejm: la manzana , la pera , el membrillo, etc

Frutos secos.- son aquellos que al llegar a su madurez tienen el pericarpio y en consistencia seca estos se clasifican en :

a) Dehiscentes.- son frutos que al madurara se abren espontáneamente para liberar a la semilla , entre ellos tenemos

a.1.) legumbre.- cuando el pericarpio esta formado esta formado por un corpúsculo que al madurar se hable por los bordes ejm: el haba

a.2.) silicua.- es semejante a la legumbre pero bicarpelar por lo que los óvulos que quedan pegados en un tabique central ejm: el alhelí

a.3.) cocsula.- son ovarios con muchas semillas que se abren por arriba ejm .- el tabaco, la amapola, el algodón, etc.

b) indehiscentes.- son frutos que al llegar a la madurez no se abren para dar salida a la semilla , esta clase de frutos desarrollan un ovario con un solo ovulo, pueden ser:

b.1.) aquenio, cuando la semilla queda libre en el interior ejm: la avellana, el girasol, el geranio.

b.2.) cariópside.- cuando el pericarpio esta pegado a la semilla ejm: el trigo, la cebada, etc.

b.3.) glande.- es cuando la semilla esta protegida por el cáliz , ejm: la bellota, etc.

b.4.) Samara.- es cuando el pericarpio adopta la forma de una ala ejm: el olmo, etc.

Clases de dientes

Incisivos .- cortan los alimentos , son un total d ocho

Canido.- desgarran los alimentos , son cuatro

Premolares.- trituran o muelen los alimentos son ocho

Molares .- completan la acción de los premolares en total son doce

En el ser humano tenemos la primera dentición de infancia 20 dientes y la segunda del adulto o permanente 32 dientes

Digestión en la boca.- digestión mecánica (masticación), los alimentos son triturados , molidos y mesclados con la saliva forman el bolo alimenticio

Digestión química.- la saliva actúa como un fermento , la cual inicia la digestión

Faringe.- es un órgano en forma de embudo , se ubica entre la boca y el esófago y se comunica con el oído externo

Funciones: sirve de paso al bolo alimenticio

Es un acto involuntario

Pasa el aire hacia la laringe

Esófago.- tiene la forma de un tubo de 25 centímetros de longitud se extiende desde la faringe hasta el estomago y se ubica detrás de la laringe y la traque y delante de la columna vertebral

Funciones

Conduce el bolo alimenticio hacia el estomago mediante movimientos peristálticos

Ciencias

Vocablo latín scientia – conocimiento

Es el conjunto de conocimientos como resultado de la observación y experimentación los conocimientos son organizados y sistematizados

Clases

Las ciencias se dividen en dos grupos

image

Células eucariotas

Son células mas evolucionadas que las procariotas y presentan las siguientes características

Poseen membrana nuclear (carioteca), material genético encerrado en el núcleo por ser organelos citoplasmáticos pertenecen a loas células eucariotas, la célula animal y la célula vegetal

Célula

Unidad biológica de todo ser vivo

Citología

Parte de la anatomía que estudia la célula : origen , evolución, estructura y funcionamiento

Teoría celular

La célula es la unidad morfológica , fisiológica y genética de todo ser vivo

Unidad morfológica

Todos los seres vivos están formados por células

Unidad fisiológica

Por que tiene funciones : nutrición, reproducción , y relación

Unidad genética

Por que toda célula proviene de otra célula transportándose caracteres hereditarios

da clic para seguir el vinculo:

características de la célula

Clases de hojas

Existen dos clases de hojas:

Hojas simples

Cuando el peciolo se ramifica y el limbo es una solo pieza, ejemplo naranja , guayaba, etc.

Hojas compuestas

Cuando el peciolo se ramifica

Tiene varios limbos, denominados foliolos, ejemplo: trébol, rosal, castaño de indias, etc.

Características de los seres vivos

Los científicos han reconocido un conjunto de características de cada una de las formas de vida conocidas en nuestro planeta desde la mas simple como una bacteria como la mas compleja el ser humano

Organización estructural

Los seres vivos se componen de células , los organismos de una célula son unicelulares y los de muchas celular son multicelulares

Capacidad para responder a estímulos que provienen del medio ambiente (irritabilidad)

Conjunto de reacciones químicas que ocurren en el organismo del ser vivo su objetivo es obtener y utilizar la energía contenida en los nutrientes (metabolismo)

Consiste en eliminar los restos inutilizables que son dañinos para el organismo (excreción)

Es un mecanismo que tienen los seres vivos para mantener constante sus condiciones internas a pesas de las variaciones que se producen alrededor (homeostasis)

Todos los organismos aumentan de tamaño durante el transcurso de su vida durante toda la vida cresen las plantas y en ciertas etapas de su vida los animales (crecimiento)

Capacidad de acomodarse a los Requerimientos que les impone al ambiente cualquier cambio en la estructura , funcionamiento o conducta de estos seres que permiten la supervivencia (adaptación)

Procrear individuos iguales , (reproducción) es la característica de un ser vivo para dejar descendencia del mismo tipo es decir extender la vida en el tiempo y el espacio

Aspecto físico del protoplasma

Sistema coloidal:

el protoplasma materia viva se encuentra en esta coloidal

Se encuentra en estado especial de la materia

Se caracteriza por que esta conformada por dos partes

Fase dispersante:

Parte liquida

Formada por H2O y por iones y moléculas en solución

Fase dispersa:

Formada por partículas y macro moléculas : carbohidratos, proteínas, lípidos, etc.

Solución o sistema disperso (mescla)

Esta formado por:

Parte liquida con iones y moléculas

Partículas de tres categorías:

Partículas pequeñas o solución verdadera

Partículas de tamaño medio o solución coloidal

Partículas grandes o solución grosera

Avances de la física desde 1930

La física nuclear adquiere un enorme avance con la intención del acelerador atómico y el descubrimiento de la fisión y fusión nuclear

Actualmente los investigadores físicos están dando sorprendentes resultados en el terreno de la física del estado solido , criogenia, espectroscopia, física de los plasmas, invención del laser

Laser.- ampliación de la luz mediante emisión estimulada de radiaciones

También se esta desarrollando estudios de astrología y cosmología

Bacterias útiles al hombre

Las bacterias han colonizado casi todos lo hábitats de la tierra por lo que son lo s organismos mas extendidos

La mayoría de la bacterias son saprofitas , es decir, que viven sobre vegetales y animales en descomposición, este hecho comporta que las bacterias devuelvan gran parte del carbono a la atmosfera en forma de CO2 , a al ves que se reciclan otros nutrientes indispensables para el desarrollo de la vida podemos decir entonces que estas bacterias descomponedoras cierran el ciclo alimenticio de los seres vivos

Las bacterias también son útiles por que ayudan a destruir a otras en forma de: “bacterias muertas” por lo cual curan muchas enfermedades o las previenen

Hay mas bacterias en nuestra boca que en la tierra pero no todas producen enfermedades, solamente el 1% de ellas si las producen , las demás tienen funciones útiles para la vida

Bacterias

Las bacterias son organismos unicelulares procariotas y son de vida libre y parásitos , viven aislados o formando colonias (grupos)

Clases

Bacilo: forma de bastón ejm: difteria, tuberculosis (koch), lepra, tétano, salmonella

Espirilo: tiene la forma de un espiral ejm: sífilis

Vibrio: tienen la forma de una como ejm: cólera

Coco: tiene forma esférica y se presentan solos o en grupos como diplococos, estafilococos, estreptococos.

Beneficios y Perjuicios del Rozamiento

Beneficios

Los clavos y tornillos mantienen contacto a tablas y equipos electrónicos

Para poder caminar

Para que los vehículos puedan transitar

En la costura de telas

En los frenos

Perjudicial

Aumenta el esfuerzo necesario en las maquinas

Desgaste de la superficie que se frota

Provoca calor entre las superficies que se rosan que pueden causar daños

Biología

Bio – vida logos – tratado

Concepto.- es a ciencia que estudia a los seres vivos ,sus características comunes y particulares

Ramas de la biología

a) Biología especial.-

Zoología (entomología - insectos, ictiología - peces, ornitología - aves, helmintología – gusanos).

Botánica (criptogámica – plantas sin flores, fanerógama – plantas con flores).

Antropología (el hombre)

Microbiología (virología - virus, bacteriología - bacterias, micología - hongos)

b) Biología general.-

estudia la forma y estructura de los seres vivos

1. Morfología.

2. Fisiología.- estudia el funcionamiento de las células tejidos , órganos, sistemas

3. Bioquímica.- estudia la composición y reacciones químicas de la materia viva

4. Biogenia.- origen y evolución de los seres vivos en el tiempo y el espacio:

Embriología.- estudia el origen y evolución del embrión

Filogenia.- estudia el origen y evolución de las especies

5. Ecología.- estudia a los seres vivos y su relación con el medio ambiente.

6. Genética.- estudia la herencia y variaciones biológicas.

7. Etnología.- estudia razas humanas

Ramas de la biología

 

a) Biología especial.-

Zoología (entomología - insectos, ictiología - peces, ornitología - aves, helmintología – gusanos).

Botánica (criptogámica – plantas sin flores, fanerógama – plantas con flores).

Antropología (el hombre)

Microbiología (virología - virus, bacteriología - bacterias, micología - hongos)

b) Biología general.-

estudia la forma y estructura de los seres vivos

1. Morfología.

2. Fisiología.- estudia el funcionamiento de las células tejidos , órganos, sistemas

3. Bioquímica.- estudia la composición y reacciones químicas de la materia viva

4. Biogenia.- origen y evolución de los seres vivos en el tiempo y el espacio:

Embriología.- estudia el origen y evolución del embrión

Filogenia.- estudia el origen y evolución de las especies

5. Ecología.- estudia a los seres vivos y su relación con el medio ambiente.

6. Genética.- estudia la herencia y variaciones biológicas.

7. Etnología.- estudia razas humanas

caída libre

si dejamos suelto un cuerpo sobre la superficie terrestre el cuerpo cae verticalmente hacia ella

los cuerpos caen por que los atrae la tierra

la atracción ejercida por la tierra sobre todo cuerpo cercano a ella se denomina gravedad

movimiento vertical

cuando un cuerpo es soltado a una determinada altura cae a través de la vertical y si es lanzado desde la superficie también describe una trayectoria vertical

para comprender la naturaleza del movimiento de caída libre de un cuerpo recordaremos la experiencia de galileo Galilei cuando soltó una bola en la parte superior de un plano inclinado y midió la distancia recorrida , en un segundo como en un tiempo doble, la bola recorría una distancia hasta cuatro veces mayor a partir del reposo ,entonces la distancia era directamente proporcional al cuadrado del tiempo y si se inclinaba el plano mas y mas también se cumplía para los cuerpos en caída libre

en el vacío todos los cuerpos caen en MRUV

vacío es el lugar donde no existe aire

caída libre

es el movimiento vertical que realizan los cuerpos en el vacío

en el vacío todos los cuerpos cae libremente y aceleran igual cualquiera sea su peso

al soltar simultáneamente una pluma y una piedra en el aire, la piedra llega primero al suelo porque sobre la pluma el aire ejerce resistencia

al soltar simultáneamente un pluma y una piedra en el vacío llegan al mismo tiempo , en ambos no existe ninguna resistencia , por lo tanto caen con la misma aceleración

en la superficie terrestre la aceleración es constante por el achatamiento de los polos

la aceleración de la gravedad varía según la altura y con la posición en la superficie terrestre

image

Para resolver ejercicios de caída libre usamos las formulas del MRUV y reemplazamos la aceleración por la aceleración de la gravedad “a=g”

así mismo asumimos para los casos en los cuales no se presentan datos de la gravedad como que es 9,8 m/s2

da clic para seguir el tema:

Movimiento Rectilíneo Uniformemente Variado MRUV

Campo eléctrico

Es toda región donde se ejercen fuerzas sobre una carga eléctrica situada en cualquier punto del mismo

Intensidad del campo eléctrico en un punto

La intensidad de un campo eléctrico en un punto es la fuerza ejercida por el campo eléctrico sobre la unidad de carga eléctrica positiva colocada en dicho punto

E=f/q

Donde:

E=intensidad

F=fuerza

q=carga

también:

E=N(newton)/C(coulomb)

Características de la Célula

Tamaño

Microscópico, porque son pequeñísimas y se miden en micras en su mayoría

Forma

Tiene forma según la función que realizan

Esférica.- globulos blancos, amebas , ovulos

Fusiformes y alargados.- células nerviosas y musculares

Cilíndricas.- epitelio intestinal

Aplanadas.- células epiteliales

Poliédricas.- células vegetales

Duración

Tienen duración variada

Células de la piel : 4 días

Eritrocitos: 20 días

Células nerviosas : toda la vida

da clic para seguir el vinculo:

Ley del volumen celular

Características de la raíz

Esta debajo de la tierra

Tiene bellos finos llamados pelos absorbentes

Tiene forma y tamaño variado

Tiene un geotropismo positivo

Fototropismo negativo

Hidrotropismo positivo

¿Que es una ley científica?

Ley del latín LEX que significa regla o norma, es constante e invariable de las causas , una ley plantea que un fenómeno va a ocurrir y ocurre se quiera o no

Ejm:

Ley de la gravitación Universal – Isaac Newton

Ley del empuje Hidrostático – Arquímedes

Ley del péndulo – galileo

Ley de la conservación de la energía – Meyer

Las leyes naturales se descubren casi siempre en forma casual, las leyes naturales no se inventa , solo se descubren

Aceleración – tiempo (A – T)

el grafico A – T es una línea recta paralela al eje del tiempo ya que el valor de “A” es constante

 

image

Ácidos grasos insaturados

Se localizan en las grasas liquidas como en los aceites y pueden ser: mono, tri y polietilenos, según tenga 1, 2, 3 enlaces dobles en su cadena ; orico, pamitoleico, linoleico, linolenico

Clases

a) Triglicérido.- son grasas neutras simples formados por aceites grasos y glicerol

Se encuentran en las células animales y vegetales , pueden ser solidos o líquidos

Formación de un triglicérido

Resulta de la unión de una molécula con tres ácidos grasos mediante tres enlaces triester

Enlace esteárico.- se forma de la unión de un alcohol y un acido graso con la eliminación de una molécula de agua

Las grasas o cebos, aceites y la mantequilla

b) Ceras o céridos.- están formados por ácidos grasos y alcohol , tienen elevado peso molecular , se encuentran en los vegetales como la cutina que protege hojas , semillas y la fruta

Cutícula.- en los gusanos y abejas en la lanolina de la oveja, la cera de las abejas , el cerument de las orejas

c) Fosfolípidos.- estos contienen glicerol , ácidos grasos y otras sustancias como acido fosfórico y amino alcohol ejm: lecitinas (hígado), tejido nerviosos , yema de huevo, germen de huevo, cefalinas (tejido nervioso y músculos)

d) Esteroides.- están formados por cuatro aminas de carbono conectado entre si tenemos el colesterol .

El colesterol .- es un lípido insoluble en agua esta presente en las grasas animales por que los vegetales no lo contienen se encuentra en los cálculos biliares y en la sangre

Vitamina D = ácidos biliares

Hormonas = estrógenos, andrógenos , progesterona

e) Carotenoides.- son de origen vegetal son insolubles en el agua, pigmentos rojo y amarillo (llema de huevo)

Luteol – maíz amarillo

Zeaxantol – zanahoria (anaranjado)

Ácidos Nucleicos

Son los responsables de las funciones biológicas básicas de todos los seres vivos , en efecto, dirigen todos los procesos vitales, ya que contienen los mensajes y las instrucciones para llevarlos a cabo , por tanto , son las moléculas que contienen la información y se transmiten a la descendencia , su estructura química esta compuesta por cadenas lineales de unas subunidades denominadas nucleótidos (unión de una pentosa y un base nitrogenada) la pentosa de los nucleótidos puede ser ribosa o desoxirribosa

En función del tipo de pentosa hay dos tipos de ácidos principales de nucleicos : el acido desoxirribonucleico o ADN (desoxirribosa) que forma genes , es decir el material químico que contiene el mensaje genético : y el acido ribonucleico o ARN (ribosas) , que interviene en el proceso de translación genético para su plasmación en las proteínas

Excepto en los virus , el ADN y el ARN están presentes simultáneamente en todos los organismos vivos

Ácidos saturados

Se localizan en las grasas solidas como ceras , sebos, mantequilla, acético, butírico, palmítico, esteárico, etc.

Formula:        CH3 – (CH2)n – COOH

Palmítico:      CH3 – (CH2)14 – COOH     16ºC

Esteárico:      CH3 – (CH2)16 – COOH      18ºC

Adición de varios vectores por descomposición rectangular

Para encontrar “R” de varios vectores se emplea el método de la descomposición rectangular siguiendo los siguientes pasos:

1) Se descompone cada vector en sus componentes rectangulares de acuerdo a las direcciones de acuerdo a “x” e “y”

2) Como en cada uno de los ejes tenemos ahora vectores colineales asignamos signos algebraicos a los ejes “x” e “y” reemplazando los  vectores horizontales por un vector resultante y a los vectores verticales por un vector resultante

3) El sistema queda reducido a dos vectores “Rx” y “Ry”, formando entre si un ángulo de 90 grados

4) Luego para hallar la resultante “R” se aplica el teorema de Pitágoras

Adición de vectores

Método grafico

da clic para seguir los vínculos:

Método del paralelogramo

Método del triangulo
Método del polígono

Algas azules verdes – cianofíceas

Son organismos procarioticos, son autótrofas, fotosintéticas, estructuralmente similares a las bacterias , se le llaman cianofíceas, debido a la presencia del pigmento azul ficocianina

Se presentan como grandes filamentos formando colonias globulares entre las especies principales tenemos : el vostoc, ocillatania, anabaena

El pigmento azul y verde están dispersos en el citoplasma formando laminillas fotosintéticas

Viven en charcos y estanques con agua dulce y salada

Su reproducción es asexual por fisión binaria , tienen importancia ecológica por que generan oxigeno y materia orgánica para otros organismos

Magnitudes físicas fundamentales

Magnitud fundamental

Unidad fundamental

símbolo

Dimensión

1

Longitud

Metro

M

L

2

Masa

Kilogramo

Kg

M

3

Tiempo

Segundo

S

T

4

Intensidad de corriente eléctrica

Ampere

A

I

5

Temperatura termodinámica

Kelvin

K

θ

6

Intensidad luminosa

Candela

Cd

S

7

Cantidad de sustancia

mol

Mol

N

da clic para seguir el vinculo:

magnitudes derivadas de las formulas elementales

Análisis dimensional

¿Que es un análisis dimensional?

Es una técnica matemática aplicada a la física a fin de

a) Relacionar una magnitud física con otras tomadas como fundamentales

b) Comprobar si es correcta alguna ecuación física

c) Verificar la solución de algún problema

d) Proponer ecuaciones empíricas

Magnitud fundamental

Unidad fundamental

símbolo

Dimensión

1

Longitud

Metro

M

L

2

Masa

Kilogramo

Kg

M

3

Tiempo

Segundo

S

T

4

Intensidad de corriente eléctrica

Ampere

A

I

5

Temperatura termodinámica

Kelvin

K

θ

6

Intensidad luminosa

Candela

Cd

S

7

Cantidad de sustancia

mol

Mol

N

da clic para seguir el vinculo:

magnitudes derivadas de las formulas elementales

Aparato digestivo en los vertebrados

Peces, mamíferos , reptiles , aves y anfibios

Boca.- es un órgano por donde ingresan los alimentos la mayoría de los vertebrados presenta lengua y dientes

Esófago.-órgano conductor de los alimentos

Faringe.- tiene dos funciones por donde pasan los alimentos al estomago y la otra<: el aire pasa a los pulmones , en los peces a la altura de la faringe, se abren las branquias

Buche.- es propio de las aves, almacena y ablanda los alimentos

Molleja.- propia de aves , tritura los alimentos

Estomago.- es una bolsa donde se almacena los alimentos y se realiza la digestión con las enzimas del jugo gástrico , en los rumiantes el estomago se divide en: panza, bonete, libro y cuajar.

En el camello y los auquénidos no poseen libro

Intestino delgado.- en este órgano termina la digestión de las sustancias nutritivas , sus glándulas segregan el jugo gástrico intestinal que se junta con la bilis y el jugo pancreático

Intestino grueso.- dentro del el viven bacterias protozoarias que se alimentan de sustancias nutritivas orgánicas produciendo gases y no segrega ningún jugo

Su función es la reabsorción del agua

Recto.- acumula sustancias no digeridas que son eliminadas al exterior por el ano mediante la defecación. En aves, peces, reptiles, anfibios termina en la cloaca, órgano donde se encuentran los conductos reproductores y urinarios

miércoles, 28 de noviembre de 2012

Naturawlizer



Ciencias naturales y medio ambiente

Misión

Naturalizer es un blog dedicado especialmente a las ciencias naturales y el medio ambiente, mostrando formas de conservar nuestra naturaleza y preservar el buen estado del ambiente

Visión

Alcanzar los confines de América latina y posicionarse como uno de los mejores blog en el sector de ciencias naturales
Related Posts Plugin for WordPress, Blogger...

Busca tu Tarea Aquí:

Búsqueda personalizada

INF