¿Tienes una tarea?, Búscala aquí:

martes, 29 de enero de 2013

Células procariotas

Son células primitivas poco evolucionadas y presentan las siguientes características

Carecen de membrana nuclear , el material genético se encuentra disperso en el citoplasma, no poseen organelos citoplasmáticos tienen numerosas ribosomas para la síntesis e proteínas

A pesar de existir diferencias entre estos dos tipos de células hay semejanzas importantes en su organización molecular en su función como por ejemplo todos los organismos vivos utilizan el mismo código genético y similar estructura para la síntesis de proteínas

 

reino

organización

Clasificación

mónera

Bacterias, algas azules, algas verdes

Procariotas

Protista

Protozoarios

 

eucariotas

Fungí

Hongos, hongos verdes

Vegetal

Plantas

animal

animales

martes, 15 de enero de 2013

Representación grafica Científica

La comunidad científica adopta diversas formas de graficas las cuales representan toda clase de datos estadísticos y pueden ser:

Barras

se utilizan para representar simples comparaciones y pueden ser horizontales y verticales

image

Círculos

En comparación de medida se emplean círculos de modo que sus cálculos o áreas sean proporcionales a las cantidades que se comparen

 

image

Linear rectas y curvas

Cuando en estadística se requieren expresar las variaciones de una cantidad en función del tiempo se emplea la representación grafica por medio de ejes accisas y por medio de ejes ordenadas la otra cantidad que se relaciona con el tiempo

Ejm:

image

jueves, 10 de enero de 2013

Tejidos vegetales:

image

da clic para seguir el vinculo:

Función de nutrición

Cloroplastos

proceso general de la fotosíntesis

Magnitudes físicas derivadas de las formulas elementales

 

Magnitud derivada

Ecuación física

Formula dimensional

1

Área

A=(longitud)2

image

2

Volumen

V=(longitud)3

image

3

Velocidad

Velocidad =distancia x tiempo

image

4

Aceleración

Aceleración = velocidad x tiempo

image

5

Fuerza

Fuerza= masa x aceleración

image

6

Trabajo

Trabajo= fuerza x distancia

image

7

Potencia

Potencia = trabajo/tiempo

image

8

Presión

Presión = fuerza / área

image

9

Frecuencia

Frecuencia = 1/tiempo

image

10

Densidad

Densidad = masa/volumen

image

Formulas del Movimiento Rectilíneo Uniformemente Variado

image

Donde:

Se usa el signo positivo para la aceleración si el movimiento es acelerado y negativo si el movimiento es retardado

Vf: velocidad final

V0: velocidad inicial

a: aceleración

t: tiempo

e: espacio

image

Velocidad – tiempo (V - T)

 

image

image

Donde:

a: aceleración

m: metros

s: segundo

A: área total

AI: sub área 1

AII: sub área 2

d: desplazamiento

Si la velocidad inicial es cero:

image

Donde: d =A

Características

a) el grafico V- T es una línea recta que no es paralela a ninguno de los dos ejes

b) la pendiente de la reta nos da el valor de la aceleración

c) el área bajo el grafico es igual a la distancia recorrida por el móvil y el signo indica el sentido del desplazamiento

 

image

 

image

image

nota: cuando el cuerpo de un móvil no cambia de sentido y esta soo en el primer cuadrante

a1= tgα =positivo

a2= tgα = negativo

Cuando el cuerpo en su movimiento cambia de sentido el grafico V – T se ubica en el primer o cuarto cuadrante

Rozamiento Cinético

image

 

image

Donde:

Fk=fuerza de fricción en movimiento cinético

μk=coeficiente de fricción cinético

n= fuerza normal

Movimiento Inminente

cuando el cuerpo en contacto esta a punto de moverse pero sin conseguirlo

para que “f” sea mínima el cuerpo tendrá que estar en movimiento inminente

Vitaminas hidrosolubles

Funcionan como coenzimas son sintetizados por los vegetales excepto B12, se disuelven en agua

Imagen1

Movimiento Rectilíneo Uniforme MRU

Este movimiento tiene como característica que la trayectoria es una línea recta y el modulo, la dirección y el sentido de la velocidad permanecen constantes en el tiempo, en consecuencia , no existe aceleración , ya que la aceleración tangencial es nula, puesto que el modulo de la velocidad es constante, y la aceleración normal es nula porque la dirección de l a velocidad es constante

La ecuación de la posición para un móvil que se desplaza con un movimiento rectilíneo uniforme con una velocidad es

X = X0+ V.T

Donde

X= posición final del móvil

X0= posición del móvil antes del desplazamiento

V= velocidad

T= tiempo

Por tanto se puede ver que el móvil recorre espacios iguales en tiempos iguales

Ejm:

Un móvil con MRU

image

da clic para seguir el  tema:

velocidad y rapidez

Teorema de Varignon

 

El de la fuerza resultante con respecto a un punto es igual a la suma algebraica de los momentos de las fuerzas componentes con respecto al mismo punto

image

image

resultante

R=f1 –f2 + f3 - f4

Momento de fuerza

R.d=f1 . d1-f2 . d2 + f3 . d3

Distancia

image

Posición - Tiempo (X – T)

image

cóncava hacia arriba el movimiento es acelerado

image

cóncava hacia abajo el movimiento es retardado

el grafico X – T es una parábola

dicha parábola siempre pasa por el origen

si la parábola es cóncava hacia arriba el movimiento es acelerado, pero si es cóncava hacia abajo el movimiento es retardado

Niveles de organización biológica y ecológica

image

sub molecular

Moléculas

Biomolecular

Macromoléculas (lípido, carbohidrato, proteínas, ácidos nucleicos, molecular)

Complejas supramolecular (virus, ADN, proteínas, glicoproteínas, glucosa)

Orgánulos citoplasmáticos (mitocondria liza)

Celular .- es la unión de células luego se convierten en tejido

Histológico..- las células unidas forman tejido que se juntan para formar órganos

Orgánico.- los tejidos se unen y forman órganos que tienen funciones muy importantes para el cuerpo

Sistemático.- los órganos con iguales funciones se agrupan y forman sistemas

Los principales son : Na (sodio), Ca (calcio), K (potasio), Mg (magnesio)

Oligo elementos: oligo (pocos se les llama también elementos vestigiales, se encuentran ene l protoplasma en proporciones muy bajas, son: hierro (Fe), zinc (Zn), cobre (Cu), manganeso (Mn), flúor (F), cobalto (Co), yodo (I), selenio (Se), encontrados en animales seres superiores vanadio (V) , boro (B), molibdeno (Mo) en plantas

Los seres vivos tienen una composición química similar a la que se observa en la naturaleza y en el universo

Tejidos animales

image

da clic para seguir el vinculo:

Tejido epitelial

tejidos de unión o de sostén

Tejido óseo

Tejido muscular

Tejido nervioso

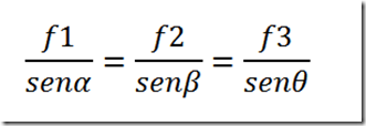
teorema de Lamy (ley de los senos)

 

si tres fuerzas coplanares concurrentes están en equilibrio , la magnitud de cada fuerza es proporcional al Angulo que forman las otras dos

image

image

image

 

nota: si tres fuerzas coplanares concurrentes están en equilibrio , la resultante de dos cualquiera de ellas es igual a la tercera pero en sentido contrario

cada vez que tres fuerzas coplanares producen equilibrio en un cuerpo , necesariamente las tres fuerzas son concurrentes

image

Peso

Es la fuerza de atracción ejercida por la tierra sobre un cuerpo

Todo cuerpo de masa “m” cae con una aceleración “g” debido a que la fuerza que actúa sobre el es su peso , por lo tanto en la segunda ley de newton tenemos que

W= m.g

Sabemos que la aceleración de la gravedad varia de un punto a otro en la superficie terrestre , entonces , el peso de los cuerpos es distinto en los diferentes lugares de la tierra

Masa inercial (mi) es la medida de la inercia de un cuerpo

Masa gravitacional

Masa inercial= masa gravitacional

Imagen1

Notación científica

 

La notación científica es el método más conveniente para abreviar grandes y pequeños números , se basa en que todos los números en forma decimal pueden expresarse como un numero entre 1 y 10 multiplicado por una potencia de 10 , su primer uso lo tendremos en los múltiplos y submúltiplos de la s unidades del sistema internacional , para todos ellos existe la siguiente tabla de prefijos y sistema de abreviaturas:

 

notacion cientifica lizerindex

Principio de homogeneidad dimensional

 

Principio dado por Fourier , establece que para que una ecuación física sea dimensionalmente correcta todos los términos de los miembros de ambos lados de la igualdad tienen que poseer igual dimensión

E-A+B+C=D donde E,A,B,C,D ∈ a la misma dimensión

Nota:

Los números , los ángulos, los logaritmos y las funciones trigonométricas no tienen dimensiones par efectos de calculo se asume que es la unidad

Formulas dimensionales de otras magnitudes físicas

Magnitud

Formula dimensional

Velocidad angular

image

Impulso

image

Energía potencial

image

Peso especifico

image

Energía mecánica

Es la capacidad que tiene todo cuerpo para realizar un trabajo mecánico

La energía es una cantidad escalar y tiene las mismas unidades que el trabajo mecánico

La energía mecánica puede ser

Energía cinética EC o energía de movimiento

Es la capacidad que tiene un cuerpo para efectuar un trabajo mecánico debido a su movimiento

image

Donde:

Ec= energía cinética

M=masa

V=velocidad

g=gravedad

p= peso

Vectores coplanares

 

Son aquellos que están contenidos en un mismo plano

image_thumb[3]

Vectores concurrentes

 

Son aquellos que se interceptan en un mismo punto Ejm:

image_thumb[1]

Método del triangulo

solo para dos vectores, se unen uno a continuación del otro para formar un triangulo , el vector resultante será la línea que forma el triangulo

Donde :

image_thumb[2]

 

image

Velocidad y Rapidez

Los físicos usan de manera indistinta los vocablos velocidad y rapidez para nombrar tal suceso, sin embargo técnicamente el significado de tales palabras es diferente, así:

Velocidad.- es una magnitud vectorial que significa que el cambio de posición de un móvil en una dirección dada en un tiempo determinado

Rapidez.- es una magnitud escalar que significa el cambio de posición de un móvil con el tiempo, es el modulo de la velocidad en un instante cualquiera

La velocidad o rapidez en el MRU se define como el espacio recorrido en una unidad de tiempo , matemáticamente es igual a image

V= E/T

Donde

V= velocidad

E= espacio

T= tiempo

Método del paralelogramo

solo para dos vectores para hallar la resultante se une por el origen y se forma el paralelogramo

donde

image_thumb[1]

 

image

Related Posts Plugin for WordPress, Blogger...

Busca tu Tarea Aquí:

Búsqueda personalizada

INF